#1 ์ฑ์ ๋ชฉ์ ๊ณผ ์ฌ๋ด

Nutri Capture๋ ๋ช ๋
์ ์ ๋ฒ๋ฉ ๋ ์ค๋ฅธ ์์ด๋์ด๋ก ๋ง๋ ์ฑ์ด์๋ค. ๋ํ๊ต์์ ์๋๋ก์ด๋ ์์
์ ๋ฃ๋ ์ค ๊ตฌ๊ธ์ ML Kit์ ๋ํ ๋ด์ฉ์ด ๋์๋ค. ML Kit๋ ์ด๋ฏธ์ง ์์์ ํ
์คํธ๋ฅผ ๋ฝ์๋ด๊ฑฐ๋ ์นด๋ฉ๋ผ๋ก ์ผ๊ตด์ ์ธ์ํ๋ ๋ฑ์ ๊ธฐ๋ฅ์ด ๋ด๊ธด ๋ฅ๋ฌ๋ ๋ผ์ด๋ธ๋ฌ๋ฆฌ๋ค. ๊ต์๋์ ML Kit์ ๋ค์ํ ๊ธฐ๋ฅ ์ค ํ๋๋ฅผ ํ์ฉํด ์ฑ์ ๋ง๋ค์ด๋ณด๋ผ๋ ๊ณผ์ ๋ฅผ ์ฃผ์
จ๋ค. ๊ทธ๋ฆฌ๊ณ ๊ทธ ๋ ๋ด ์์๋ ํ๋ง๊ธ์ค ๊ณผ์๊ฐ ์์๋ค. ํ๋ง๊ธ์ค์ ์ํต ํฌ์ฅ์ง์ ์ธ์๋ ์์์ฑ๋ถํ๊ฐ ๋์ ๋ค์ด์๋ค. ๊ทธ๋ ๊ฒ ํด์ ์ป์ ์์ด๋์ด์๋ค.
ํ์ง๋ง, "์ด๋ค ์์์ ํ๋ ์ด๋ฏธ ๊ทธ๊ฒ์ ํนํ๋ก ๋ฑ๋ก๋์ด์๋ค."๋ผ๋ ๋ง๋ ์์ง ์์๊ฐ. ์ด ์ฑ๋ ๋ง์ฐฌ๊ฐ์ง๋ค. ์ด๋ฏธ ํด์ธ์ ๊ต์ฅํ ๋ค์ด๋ก๋ ์๋ฅผ ๋ณด์ ํ ๋น์ทํ ์ฑ์ด ์์๋ค. ๊ทธ๋ ๋ค๊ณ ๋ฉ์ถ์ง ์๋๋ค. ๋ฌผ๋ก , ๋ณธ์ ์๋ ๋ชจ์์ด ๋ ๊ฒ์ด๋ค. ํ์ง๋ง ๋๋ง์ ์คํ์ผ๋ก, ๋ด๊ฐ ์๊ฐํ๋ ์ข์ ์ฌ์ฉ์ ๊ฒฝํ์ ๋ํ ์ฒ ํ์ ๋
น์ฌ๋ด์ด ๋ง๋ค์ด๋ณด๊ฒ ๋ค.
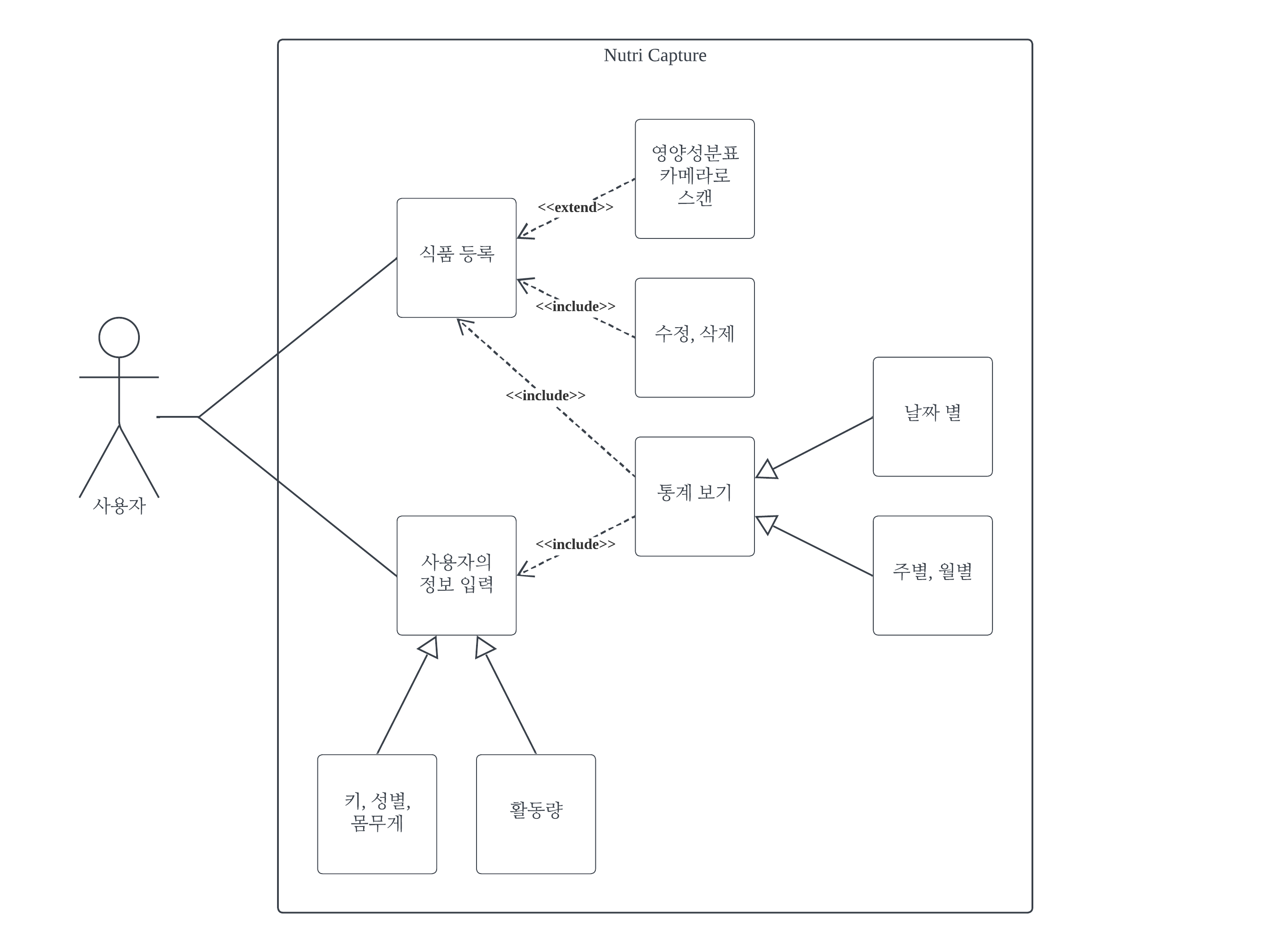
#2 ์ ์ค์ผ์ด์ค ๋ค์ด์ด๊ทธ๋จ

์ ์ค์ผ์ด์ค๋ฅผ ํ์ ๋์ ์ ์ฌ๊ฐํ์ผ๋ก ํ๊ธฐํ๋ค.
'๊ฐ๋ฐ ์ผ์ง ๐ป > Swemo' ์นดํ ๊ณ ๋ฆฌ์ ๋ค๋ฅธ ๊ธ
| Nutri Capture - Scaffold (0) | 2024.09.25 |
|---|---|
| Nutri Capture - ์ด์๋จ๋ ์ฑ์ด ๋๋ ค๋ฉด (0) | 2024.09.22 |
| Nutri Capture - UI ์ค์ผ์น (0) | 2023.12.23 |
| Nutri Capture - ERD (0) | 2023.12.22 |
| Nutri Capture - ์ฑ์ ๋ฆฌํฉํ ๋ง ๋ฐ ์ ๊ทธ๋ ์ด๋ (0) | 2023.12.19 |