#1 알고리즘
#1-1

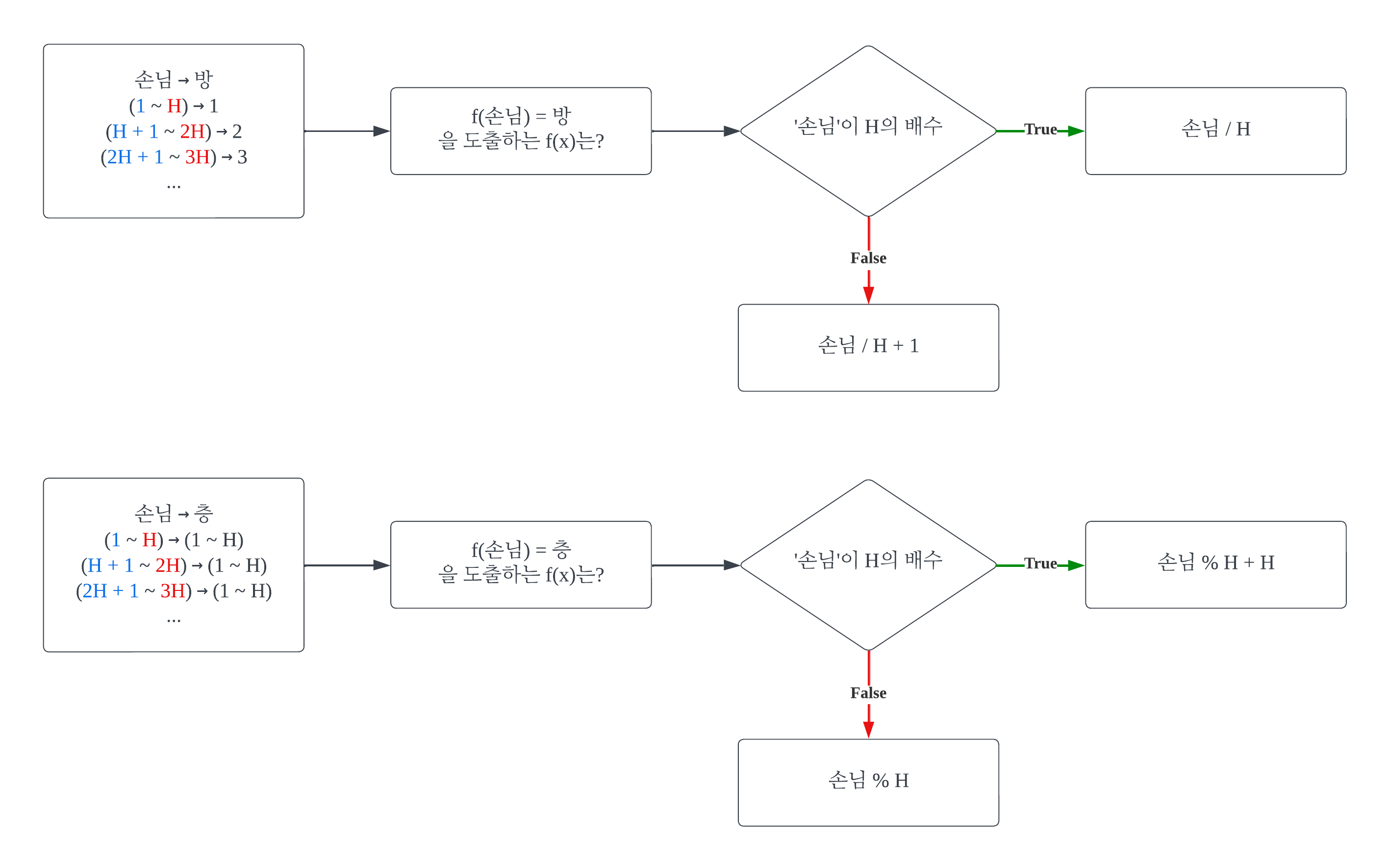
호텔에 몇 번째 손님이 어느 층 어느 방에 입실하는지의 규칙을 살펴본다.
#1-2

규칙을 공식으로 표현하면, 손님이 H의 배수인 경우와 아닌 경우로 나누어진다. 이 알고리즘을 그대로 코드로 만들어도 이 문제를 풀수 있다.
#1-3

이와같이 if문을 없애 코드의 길이를 줄이는 방법도 있다. 바로, 1-based indexing으로 순서가 기술되어 있는 손님을 0-based indexing으로 생각하는 것이다.
#2 코드
#2-1 자바
import java.util.Scanner;
public class Main {
public static void main(String[] args) {
Scanner sc = new Scanner(System.in);
int testCaseNumber = sc.nextInt();
sc.nextLine();
String[] submits = new String[testCaseNumber];
for(int i = 0; i < submits.length; i++) {
String[] testCase = sc.nextLine().trim().split(" ");
submits[i] = allocatedRoomNumber(Integer.parseInt(testCase[0]), Integer.parseInt(testCase[1]), Integer.parseInt(testCase[2]));
}
sc.close();
for(String submit : submits) {
System.out.println(submit);
}
}
private static String allocatedRoomNumber(int totalFloor, int totalWidth, int guestNumber) {
int allocatedFloor = (guestNumber - 1) % totalFloor + 1;
int allocatedRoomOfFloor = (guestNumber - 1) / totalFloor + 1;
return Integer.toString(allocatedFloor) + String.format("%02d", allocatedRoomOfFloor);
}
}
'1207'호실을 '127'과 같이 표현하지 않게 주의한다. String 클래스의 format() 메소드로 처리했다.
#2-2 코틀린
fun main() {
val testCaseNumber = readln()!!.trim().toInt()
val submits : Array<String> = Array(testCaseNumber) { "" }
for(i : Int in 0..<testCaseNumber) {
val testCase = readln()!!.trim().split(" ")
submits[i] = allocatedRoomNumber(testCase[0].toInt(), testCase[1].toInt(), testCase[2].toInt())
}
for(submit : String in submits) {
println(submit)
}
}
fun allocatedRoomNumber(totalFloor : Int, totalWidth : Int, guestNumber: Int) : String {
val allocatedFloor = (guestNumber - 1) % totalFloor + 1
val allocatedRoomOfFloor = (guestNumber - 1) / totalFloor + 1
return allocatedFloor.toString() + String.format("%02d", allocatedRoomOfFloor)
}
'1207'호실을 '127'과 같이 표현하지 않게 주의한다. String 클래스의 format() 메소드로 처리했다.
'문제 풀이 ✏️ > 기타' 카테고리의 다른 글
| [백준] 8958 (OX퀴즈) (0) | 2023.11.27 |
|---|---|
| [백준] 10818 (최소, 최대) (1) | 2023.11.24 |
| [백준] 2920 (음계) (1) | 2023.11.22 |
| [백준] 2884 (알람 시계) (0) | 2023.11.21 |
| [백준] 10809 (알파벳 찾기) (0) | 2023.11.16 |